International GSM roaming for US business travelers
In an attempt to get a feel for what was available to US business travelers, we contacted the corporate communications departments (we felt that this would be more accurate than relying on sometimes-inaccurate web sites) at Alltel, AT&T Wireless, Cingular, Nextel, Sprint PCS, Suncom, T-Mobile, and Verizon.
Alltel and Suncom responded that they have no international roaming. Nextel, and Sprint didn’t respond, which, based on our past experience in these types of things, means that they don’t really actively support international roaming at this time.
T-Mobile and Verizon responded affirmatively, complete with international roaming rates. Cingular responded through their PR firm that they have international GSM roaming in 200 countries (the GSM Association lists 182 countries/areas that have GSM), but did not provide countries or rates.
The big surprise was AT&T Wireless, which we had always believed had long-existing international GSM roaming agreements in place, and indeed, their website, claims international roaming in 120 countries with the AT&T Wireless WorldConnect® Service. In spite of this, AT&T Wireless responded that they were in the midst of rolling out their international roaming plans, but did not have international roaming in place at this time, so we can, at the time this is written, count them out as being officially a provider of international roaming services.
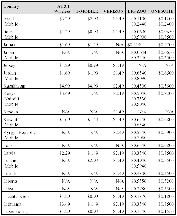
Below find a comparison of international roaming rates within (or receiving calls from theUS) for the two international service providers that provided us with rates (as well as the “unofficial” rates for AT&T Wireless): We felt that having the side-by-side comparison would be more useful than merely listing the web sites. We have also included the costs for calls from the US to other countries with two of the prepaid calling services, Big Zoo (http://www.bigzoo.com/) and OneSuite (http://www.onesuite.com/). With these services, you prepay into your account, and then program your access number and PIN into the calling card setting on your handset. For most handsets, the way you use the calling card is to select the number and hold the send button down. The handset will then dial the access number and ask for the PIN, at which point you hit the send button again. It will then ask you for the phone number to be dialed, and you hit the send button again. Is it worth the extra effort? Depends on who you are. In The LUBRINCO Group we use these services both with cell phones and for long distance with our landline phones. On the other hand, in other circumstances we might not care so much about saving the company a few pennies – or even a few dollars – per call.









